Q&A 타이밍 벨트 타이밍 풀리

고객으로부터 전해진 「자주 있는 질문」을 Q&A 형식으로 게재하고 있습니다. 질문을 클릭하여 답변으로 이동하십시오.

타이밍 벨트

Q&A내에서 구

Q1 타이밍 벨트 설치 시 장력을 주는 이유는?
Q2 설치장력 주는 방법은?
Q3 설치장력의 확인 방법은?
Q4 설치장력을 측정하는 부분은?
Q5 설치장력의 최소값은?
Q6 타이밍 풀리의 정렬 조정의 필요성은?
Q7 타이밍 벨트의 성장이란?
Q8 어떠한 상태가 되었을 때에 타이밍 벨트는 수명이라고 판단하는 것인가?
Q9 타이밍 벨트가 절단되기 전에 수명을 알 수 있습니까?
Q10 타이밍 벨트가 수명에 이르는 시간은?
Q11 맞물림 잇수 6치 이상이 필요한 이유는?
Q12 전동능력표 착색 부분의 의미는?
Q13 서보 모터를 사용하는 경우의 주의점은?
Q14 카탈로그에 기재가 있는 표준폭 이외의 것은 제작이 가능한가?
Q15 제작이 가능한 최소폭은?
Q16 카탈로그에 기재되어 있지 않은 벨트 길이의 것은 제작이 가능한가?
Q17 "울트라 PX 벨트 내유 사양"은 모든 유종에 효과가 있습니까?
Q18 기름 주위·물 주위의 분위기에서 사용할 수 있을까?
Q19 타이밍 벨트가 사용 가능한 분위기 온도는?
Q20 타사품과의 호환성은 있는가?
Q21 사용 전에 주의해 두는 것은?
Q22 타이밍 벨트를 타이밍 풀리에 설치할 때의 주의점은?
Q23 타이밍 벨트의 사용 분위기에서 주의하는 것은?
Q24 타이밍 벨트의 보관에 주의하는 것은?
Q25 소음의 종류는?
Q26 소음의 대책은?
Q27 RoHS 지령에 대응하고 있습니까?
Q28 타이밍 벨트의 전동 효율은 얼마입니까?
Q29 타이밍 벨트의 조기 절단
Q30 타이밍 벨트 치아 착용
Q31 타이밍 벨트 치아
Q32 타이밍 벨트의 치아 전단 파괴
Q33 타이밍 벨트 측면의 무시레 및 마모
Q34 타이밍 벨트 치면의 수직 열 흠집
Q35 타이밍 벨트의 부분 절단
Q36 타이밍 벨트의 팽윤
Q37 타이밍 벨트의 겉보기 성장
Q38 타이밍 벨트 후면의 고무 끈기 또는 연화
Q39 타이밍 벨트 후면 고무 마모
Q40 타이밍 벨트 후면 고무 균열
Q41 타이밍 풀리 치아 마모

텐션 미터

Q42 측정 가능 범위는?
Q43 구입하기 전에 사용하고 싶지만, 대출은 하고 있습니까?
Q44 교정은 받을 수 있을까?
Q45 교정 적정 기간은?

벨트 클램프

Q46 재질은?
Q47 카탈로그 기재품 이외의 특주품은 제작 가능합니까?
답변에
Q1 타이밍 벨트 설치 시 장력을 주는 이유는?
A1

타이밍 벨트 전동에서는 힘이 작용하는 피치 센터 라인이 타이밍 풀리 의 이끝 끝 밖에 있기 때문에 적절한 장력을 주면 전동이 가능합니다.

통상의 전동 용도에서의 설치장력은 카탈로그 기재의 권장값을 기준으로 설정하는 것이 바람직합니다.

또한 위치결정 정밀도를 중시하는 용도의 경우는 카탈로그 기재의 최대값을 초과하지 않는 범위에서 높게 설정하십시오.

덧붙여 부하의 상황이나 장치의 사정에 의해, 권장치를 밑도는 설치장력을 설정하는 경우는, 진동이나 소음이 증대하지 않는지, 치아 날아 등 전동에 결함이 발생하고 있지 않은지를 확인하면서 설정해 주세요.

설치장력 지나치게 높거나 낮은 경우에는 타이밍 벨트의 조기 파손의 원인이 됩니다.

질문으로 돌아가기
Q2 설치장력 주는 방법은?
A2

축 중 하나를 이동하고 조정하는 것이 바람직하지만 조정용 아이들러를 제공하는 방법도 있습니다.

아이들러는 원칙적으로 타이밍 벨트의 풀림 측에 설치하여 조정 후에 고정할 수 있도록 하십시오.

질문으로 돌아가기
Q3 설치장력의 확인 방법은?
A3
  1. ① 쯔바키 벨트 장력계 T-ACE 이용

    벨트의 고유 진동수를 이용하여 측정하는 음파식 벨트 장력계 「쯔바키 벨트 텐션 미터 T-ACE 」를 이용하면 간단하고 정확하게 확인할 수 있습니다.

  2. ② 타이밍 벨트를 눌러 발생하는 처짐량으로 확인하는 방법이 있습니다.
    1. 아이들러 축을 포함하여 모든 축의 평행도와 풀리의 정렬을 정확하게 내립니다.
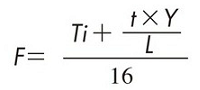
    2. 타이밍 벨트의 스팬 중앙에 누르는 힘 (F)을 가합니다.
    3. 타이밍 벨트의 처짐(δ)이 스팬 100mm당 1.6mm가 되도록 장력을 줍니다.
설치장력
[클릭으로 확대]
  • 설치장력
    설치장력
    F: 스팬 t의 중앙에서의 휨(δ)에 필요한 누르는 힘 N{kgf}
  • Ti: 설치장력 N{kgf}
  • Y: 보정 계수
  • δ: 편향 mm=0.016t
  • t: 스팬 길이 mm
  • C: 축간 거리 mm
  • Dp: 대 풀리 피치 원 직경 mm
  • dp: 작은 풀리 피치 원 직경 mm
  • L: 벨트 길이 mm
질문으로 돌아가기
Q4 설치장력을 측정하는 부분은?
A4

2축(타이밍 풀리가 2개)인 경우는 스팬 중앙에서 측정해 주십시오.

다축(타이밍 풀리 · 아이들러가 3개 이상)인 경우는 스팬이 가장 긴 부분에서 측정해 주십시오. 보다 안정적인 측정이 가능합니다.

질문으로 돌아가기
Q5 설치장력의 최소값은?
A5

치아 날리지 않는 정도까지 설치장력을 낮출 수 있습니다. 치비의 발생은 사용 조건에 따라 다르므로 실제 기계로 확인하십시오.

질문으로 돌아가기
Q6 타이밍 풀리의 정렬 조정의 필요성은?
A6

타이밍 벨트는 타이밍 풀리의 정렬이 올바른 경우에도 타이밍 풀리의 중앙에서 주행하지 않고 어느 한쪽에 치우치는 성질이 있습니다.

그 힘은 매우 약하지만, 타이밍 풀리의 정렬이 나쁘면 타이밍 풀리의 가장자리를 향해 주행하여 가이드 플랜지에 강하게 밀려 손상되거나 절단 될 수 있습니다.

또한 가이드 플랜지가 떨어질 수 있습니다.

타이밍 풀리의 얼라인먼트는 아래 표의 허용차 내로 조정해 주십시오.

벨트 사이즈 모든 품종
벨트 폭 mm 30 이하 30~50 50~100 100 이상
허용 평행도 5/1000 이하 4/1000 이하 3/1000 이하 2/1000 이하
θ분 17 이하 13 이하 10 이하 6 이하

プーリ調整方法
[클릭으로 확대]

■ 풀리 조정 방법

그림과 같이 기준이 되는 풀리에 스트레이트 엣지를 대고, 다른 풀리를 스트레이트 엣지 전면에 접촉시키는 것(ε=0으로 한다)에 의해 풀리를 올바른 위치에 늘어놓을 수가 있습니다.

또한 그림의 δ를 한도 이하로 함으로써 축의 평행도를 동시에 낼 수 있습니다.

プーリ調整方法
[클릭으로 확대]

질문으로 돌아가기
Q7 타이밍 벨트의 성장이란?
A7

타이밍 벨트에서 발생하는 신장에는 2 종류가 있습니다.

  1. ①탄성 신장(하중 신장)

    타이밍 벨트에 부하를 걸었을 때 생기는 가역적인 신장입니다. 적용된 부하를 제거하면 되돌아갑니다.

  2. ②영구 신장(운전 신장)

    타이밍 벨트에 걸려있는 부하를 제거해도 원래대로 돌아 가지 않는 신장입니다. 주로 초기 친숙함과 마모로 인해 발생합니다.

질문으로 돌아가기
Q8 어떠한 상태가 되었을 때에 타이밍 벨트는 수명이라고 판단하는 것인가?
A8

적절하게 선정된 타이밍 벨트 에서는 칫솔의 마모가 진행되고, 그 후 벨트 치아의 누락이 발생합니다.

또한 타이밍 풀리의 직경이 작거나 다축 레이아웃에서 굴곡이 많은 경우에는 심선의 굴곡 피로에서 절단에 이르기도 합니다.

이와 같이 타이밍 벨트가 정확하게 타이밍 풀리와 맞물려 전동하는 기능이 손실되었을 때를 수명으로 하고 있습니다.

타이밍 벨트는 정기적으로 점검하고 외관에 상처 등의 이상이나 치포의 마모가 인정된 경우는 벨트 치아의 누락 타이밍 벨트가 절단되기 전에 교환해 주십시오.

질문으로 돌아가기
Q9 타이밍 벨트가 절단되기 전에 수명을 알 수 있습니까?
A9

수명은 진동이나 소음이 되어 나타나는 일이 있습니다만, 미묘한 것도 있어, 사전에 인지하는 것은 곤란합니다.

타이밍 벨트를 정기적으로 점검하여 상처 등의 이상이나 치포의 마모가 인정된 경우는 벨트 치아의 누락이나 파단 전에 교환해 주십시오.

쯔바키 울트라 PX 벨트는 칫솔의 마모가 고무의 노출로 확인하기 쉬워지고 있으므로 교환의 판단을 용이하게 할 수 있게 되어 있습니다.

사용 전

사용 전

사용 경과 후

사용 경과 후
질문으로 돌아가기
Q10 타이밍 벨트가 수명에 이르는 시간은?
A10

타이밍 벨트는 금속제가 아니기 때문에 피로 한도가 없고, 사용하고 있는 동안에 피로·마모가 발생해, 파손에 이릅니다.

또, 사용되는 조건・레이아웃에 의해 내구 시간이 크게 달라지기 때문에, 수명에 이르는 시간을 특정하는 것은 매우 곤란합니다.

당사는 재료의 경년 변화를 고려하여 최대 5년간의 교환을 추천하고 있습니다.

질문으로 돌아가기
Q11 맞물림 잇수 6치 이상이 필요한 이유는?
A11

금속 체인이나 기어와 달리 타이밍 벨트의 치아는 나일론 직포로 덮인 고무재이므로, 1 치만으로의 전동에는 적합하지 않고, 복수 치아로 부하를 받을 필요가 있습니다. 타이밍 풀리 와의 맞물림 잇수 6치 미만이면 1치당 부하가 커져 치아의 원인이 됩니다.

맞물림 잇수 5치 또는 4치가 되어 버리는 경우는, 카탈로그 기재의 「물림 보정 계수」를 더해 선정해 주십시오.

구동 풀리의 경우, 맞물림 잇수 6치 이상으로 맞물림 각도가 120도 이상이 되도록 검토를 부탁드립니다.

질문으로 돌아가기
Q12 카탈로그에 기재되어 있는 전동능력표 착색 부분의 의미는?
A12

이 부분의 조합은 소경 풀리가 고속으로 회전하는 조건이 되므로, 타이밍 벨트 내부에 있는 심선의 굴곡 피로가 촉진되어 수명이 짧아지므로 사용을 피해 주세요.

질문으로 돌아가기
Q13 서보 모터를 사용하는 경우의 주의점은?
A13

타이밍 벨트의 주속이 빠르면 다음과 같은 현상이 발생할 수 있습니다.

  1. ① 타이밍 벨트에 발생하는 원심 장력에 의해 전동 능력이 저하되는 경우가 있습니다.
  2. ②수명이 짧아지는 경우가 있습니다.
  3. ③ 타이밍 풀리의 속도가 33m/s 이상이 되는 경우, 흔들림이나 진동의 발생이 우려되므로 밸런스를 취해 주십시오.

타이밍 벨트를 선정할 때는 서보 모터의 특성을 고려하여 토크로부터 검토하는 것이 좋습니다.

질문으로 돌아가기
Q14 카탈로그에 기재가 있는 표준폭 이외의 것은 제작이 가능한가?
A14

제작 가능한 벨트 폭도 있으므로 당사 문의 창구 또는 취급 판매점에 문의하십시오.

질문으로 돌아가기
Q15 제작이 가능한 최소폭은?
A15

타이밍 벨트의 전체 높이의 1.5 배가 기준이지만 품종에 따라 다르므로 당사 문의 창구 또는 취급 판매점에 문의하십시오.

질문으로 돌아가기
Q16 카탈로그에 기재되어 있지 않은 벨트 길이의 것은 제작이 가능한가?
A16

끝없는 타이밍 벨트는 금형을 사용하여 제작하므로 카탈로그에 기재되어 있지 않은 벨트 길이의 것은 제작이 불가능합니다.

질문으로 돌아가기
Q17 "울트라 PX 벨트 내유 사양"은 모든 유종에 효과가 있습니까?
A17

「울트라 PX 벨트 내유 사양」의 내유성은, 일반적인 윤활유나 절삭유를 사용한 당사에서의 각종 시험 결과에 근거하는 것이므로, 모든 유종이나 사용 조건 등에 대한 내성을 보증하고 있는 것은 아닙니다.

개별 유종이나 사용 조건에 관한 적용 여부는 실기로 확인하시거나 당사에 문의해 주십시오.

질문으로 돌아가기
Q18 기름 주위·물 주위의 분위기에서 사용할 수 있을까?
A18

일반적으로 타이밍 벨트에 기름이나 물이 부착하면 팽윤하여 타이밍 풀리 풀리와 맞물리지 않아 전동 능력의 저하나 조기 파손의 원인이 됩니다. 특히 유중이나 수중에서는 사용할 수 없습니다.

당사에서는 기름이나 물이 미스트 형상의 환경하에서의 내구성을 높인 「울트라 PX 벨트 내유 사양」 「PX 벨트 내수 사양」을 라인 업하고 있습니다.

질문으로 돌아가기
Q19 타이밍 벨트가 사용 가능한 분위기 온도는?
A19

-15℃~80℃의 통상의 환경하에서 사용해 주십시오. 일정한 조건 하에서 90℃까지 사용 가능한 타이밍 벨트도 있습니다.

자세한 내용은 당사 문의 창구에 문의하십시오.

질문으로 돌아가기
Q20 타사품과의 호환성은 있는가?
A20

「PX 치형」은 당사 독자적인 치형으로 타사와의 호환성은 없기 때문에, 쯔바키 타이밍 풀리와 세트로 사용해 주세요.

질문으로 돌아가기
Q21 사용 전에 주의해 두는 것은?
A21

주의점을 정리해 카탈로그 「타이밍 벨트 전동」에 게재하고 있습니다. 「취급 설명」의 페이지를 사용전에 반드시 읽어 주세요.

질문으로 돌아가기
Q22 타이밍 벨트를 타이밍 풀리에 설치할 때의 주의점은?
A22

타이밍 벨트는 힘을 가해도 거의 늘지 않습니다.

타이밍 풀리에 설치할 때는 풀리축· 아이들러 축을 이동시켜 설치해 주십시오.

무리하게 타이밍 풀리의 가이드 플랜지를 극복하려고 하는 것은 사고의 원인이 되므로 피해 주세요.

아이들러를 사용하지 않는 2축 전동에서는, 축간 거리 조정실을 설치해 주십시오.

■2축 전동의 축간 거리 조정해라

단위:mm
벨트 길이 종류
P2M・P3M・P5M
UP3M・UP5M
P8M・P14M
UP8M・UP14M
△Co 500 이하 3 3
500~1000 5 5
1001~2000 10 10
2000 이상 15 15
△Ci 공통 10 15
2축 전동의 축간 거리 조정
[클릭으로 확대]
질문으로 돌아가기
Q23 타이밍 벨트의 사용 분위기에서 주의하는 것은?
A23

깨끗한 분위기에서 사용하십시오.

다량의 물, 기름, 용제가 걸릴 우려가 있는, 먼지가 많은 분위기에서 사용되는 경우는 커버를 해 타이밍 벨트 풀리를 보호해 주십시오. 공기 중에 수분, 유분이 많은 분위기에서는 "울트라 PX 벨트 내유 사양", 수분이 많은 분위기에서는 "PX 벨트 내수 사양"을 사용할 수있는 경우가 있으므로 검토하십시오.

질문으로 돌아가기
Q24 타이밍 벨트의 보관에 주의하는 것은?
A24
  1. ①온도가 -10℃~40℃인 건조한 실내에서 보관해 주십시오. 또한 직사광선이 닿지 않도록 하십시오.
  2. ② 타이밍 벨트는 작게 구부리지 마십시오. 작은 지름으로 구부리면 내부에 있는 심선이 부러져 성능이 현저하게 손상됩니다. 굽힘 한계의 직경은 피치의 4배입니다.
曲げ限度の直径はピッチの4倍です。
질문으로 돌아가기
Q25 소음의 종류는?
A25

일반적으로 다음과 같습니다.

  1. ① 타이밍 벨트 이뿌리 부가 타이밍 풀리 이끝 부에 충돌할 때 발생하는 충격음
  2. ② 타이밍 벨트의 현 진동음
  3. ③ 타이밍 벨트의 치아가 타이밍 풀리의 톱니 홈과 문지르면서 맞물림으로써 발생하는 마찰음
  4. ④ 타이밍 벨트 측면과 타이밍 풀리의 가이드 플랜지가 문지르면 발생하는 마찰음
  5. ⑤ 타이밍 벨트와 타이밍 풀리 맞물릴 때 타이밍 풀리 톱니 홈의 공기가 토출될 때 발생하는 공기 토출음
질문으로 돌아가기
Q26 소음의 대책은?
A26
  1. ① 설치장력 ·풀리 회전 속도·벨트 길이·벨트 폭·풀리 잇수 등을 변경하여 타이밍 벨트의 고유 진동수를 변화시킨다.
  2. ②고강도 타이밍 벨트로 변경하여 벨트 폭을 좁히기
  3. ③벨트 폭을 좁게 하여 다열 걸이로 변경한다.
  4. ④ 타이밍 풀리의 얼라인먼트를 조정하여 타이밍 벨트가 가이드 플랜지에 접촉하지 않도록 한다
질문으로 돌아가기
Q27 RoHS 지령에 대응하고 있습니까?
A27

RoHS 지령에 대응하고 있습니다.

질문으로 돌아가기
Q28 타이밍 벨트의 전동 효율은 얼마입니까?
A28

최대 98% 정도입니다.

질문으로 돌아가기
Q29 타이밍 벨트의 조기 절단
A29
外観の特長

[외관의 특징]

벨트 치아에 평행하게 절단. 심선도 짧게 모여 절단하고 있다.

[추정 원인]

  1. ① 보관시나 조립시에 과도하게 구부러져 심선이 파단되어 있었다.
  2. ②풀리 지름이 너무 작아 심선이 파단되었다.

[대책]

  1. ① 보관시나 조립시의 취급에 주의하여 과도하게 구부러지지 않도록 하십시오. 피치의 4배 이하의 직경으로 구부리지 마십시오.
  2. ② 타이밍 풀리, 아이들러의 지름이 적절한지 확인하고, 너무 작으면 적정한 지름의 것으로 변경하십시오. 타이밍 풀리의 지름은 전동능력표, 아이들러의 지름은 아래 표에서 확인하십시오.
曲げ限度の直径はピッチの4倍です。
  • 내부 아이들러...... 아래 표의 최소 풀리 잇수 이상의 타이밍 풀리로 합니다.
  • 외부 아이들러...... 아래 표의 풀리 피치 원 직경의 1.2배 이상으로 크라운이 없는 평 풀리로 합니다.

■ 아이들러 선정시 최소 풀리 잇수

종류 회전 속도 r/min
900 이하 900 이상
1200 이하
1200을 초과
1800 이하
1800을 초과
3600 이하
P2M 16 16 18 20
P3M・UP3M 14 14 16 18
P5M・UP5M 18 20 24 28
P8M・UP8M 24 26 26 28
P14M・UP14M 28 28 28 34

주) 3600 r/min을 초과하는 경우는 기준 전동 용량표를 참조하십시오.

내부 아이 아이들러

내부 아이 아이들러

외부 아이들러

외부 아이들러

질문으로 돌아가기
Q30 타이밍 벨트 치아 착용
A30
外観の特長 外観の特長

[외관의 특징]

  • 칫솔의 보풀이 서서 하얗게 변색, 천이 불명료해지는 등 하고 있다.
  • 칫솔이 마모되고 고무가 노출되었습니다.
  • 벨트 치아가 가늘어진다.
  • 벨트 이뿌리의 칫솔이 마모되어 심선이 노출되었습니다.

[추정 원인]

  1. ①과부하(오버로드)의 발생.
  2. ② 설치장력.
  3. ③ 설치장력 부족.
  4. ④ 타이밍 벨트의 능력 부족.
  5. ⑤ 타이밍 풀리의 치형 또는 치부의 치수 불량.
  6. ⑥분진 분위기에서의 사용.

[대책]

  1. ①원동기의 사양, 피동기의 관성, 사용 조건을 확인하여 오버로드의 원인을 없애거나 타이밍 벨트 풀리를 사이즈 올려 주십시오.
  2. ② 적정한 설치장력으로 조정해 주십시오.
  3. ③ 적정한 설치장력으로 조정해 주십시오.
  4. ④사용 조건을 확인하여 최적의 사이즈의 타이밍 벨트 풀리를 선정해 주십시오.
  5. ⑤ 올바른 치형·치수의 타이밍 풀리로 교환해 주십시오.
  6. ⑥ 분위기의 개선, 커버의 설치 등으로 타이밍 벨트 ·풀리에 분진이 부착하지 않도록 해 주십시오.
질문으로 돌아가기
Q31 타이밍 벨트 치아
A31

[추정 원인]

  1. ①과부하(쇼크로드)의 발생.
  2. ② 설치장력 부족.
  3. ③ 타이밍 풀리 와의 맞물림 잇수의 부족.
  4. ④ 가대의 강성 부족.

[대책]

  1. ① 쇼크로드의 원인을 없애거나 충격완화기구를 설치한다. 혹은 타이밍 벨트를 사이즈 올려 주세요.
  2. ② 적정한 설치장력으로 조정해 주십시오.
  3. ③ 타이밍 풀리 의 잇수를 늘리거나 아이들러를 설치하여 맞물림 잇수를 늘리십시오.
  4. ④ 가대의 강성을 주십시오.
질문으로 돌아가기
Q32 타이밍 벨트의 치아 전단 파괴
A32

[외관의 특징]

  • 벨트 치아의 치아에 크랙이 발생.
  • 벨트 치아가 누락되었습니다.

[추정 원인]

「Q30 타이밍 벨트의 치아 마모」 「Q31 타이밍 벨트의 치아 날기」의 추정 원인과 동일. 이러한 상황이 계속된 결과, 전단 파괴에 이른다.

[대책]

「Q30 타이밍 벨트의 치아 마모」 「Q31 타이밍 벨트의 치아 날기」의 대책과 동일하므로 참조하십시오.

질문으로 돌아가기
Q33 타이밍 벨트 측면의 무시레 및 마모
A33
外観の特長

[외관의 특징]

  • 측면의 모서리가 잡혀 둥글다.
  • 측면의 고무가 푹 빠진 것 같은 상태가 되어 있다.
  • 심선이 흐트러져 노출되고 있다.

[추정 원인]

  1. ①축의 평행도 불량.
  2. ② 타이밍 풀리의 정렬 불량.
  3. ③가대의 강성 부족.
  4. ④ 타이밍 풀리의 가이드 플랜지 변형.

[대책]

  1. ①축의 평행도를 올바르게 조정하십시오.
  2. ② 타이밍 풀리를 올바른 위치로 조정합니다.
    벨트 사이즈 모든 품종
    벨트 폭 mm 30 이하 30~50 50~100 100 이상
    허용 평행도 5/1000 이하 4/1000 이하 3/1000 이하 2/1000 이하
    θ분 17 이하 13 이하 10 이하 6 이하

    プーリ調整方法
    [클릭으로 확대]

    ■ 풀리 조정 방법

    그림과 같이 기준이 되는 풀리에 스트레이트 엣지를 대고, 다른 풀리를 스트레이트 엣지 전면에 접촉시키는 것(ε=0으로 한다)에 의해 풀리를 올바른 위치에 늘어놓을 수가 있습니다.

    또한 그림의 δ를 한도 이하로 함으로써 축의 평행도를 동시에 낼 수 있습니다.

    プーリ調整方法
    [클릭으로 확대]

  3. ③가대의 강성을 올려 주십시오.
  4. ④신품으로 교환해 주십시오.
질문으로 돌아가기
Q34 타이밍 벨트 치면의 수직 열 흠집
A34
外観の特長

[외관의 특징]

  • 벨트 치아에 수직으로 흠집이 있습니다.

[추정 원인]

  1. ① 타이밍 풀리 단부에 밀어내는 주행.
  2. ② 타이밍 풀리의 가이드 플랜지로의 승강.

[대책]

  1. ①축의 평행도나 타이밍 풀리의 위치가 미치기 때문에 올바른 위치로 조정해 주십시오.
  2. ②축의 평행도나 타이밍 풀리의 위치가 미치는 경우는 올바른 위치로 조정해 주십시오.

    설치장력을 확인하고 부족한 경우에는 적정한 설치장력으로 조정하십시오.

질문으로 돌아가기
Q35 타이밍 벨트의 부분 절단
A35
外観の特長

[외관의 특징]

  • 부분적으로 절단되었습니다.
  • 절단부 이외의 치면에 상처가 보일 수도 있다.

[추정 원인]

  1. ① 타이밍 풀리의 가이드 플랜지에 승강.
  2. ② 이물질의 물림.

[대책]

  1. ①축의 평행도나 타이밍 풀리의 위치가 미치는 경우는 올바른 위치로 조정해 주십시오.

    설치장력을 확인하고 부족한 경우에는 적정한 설치장력으로 조정하십시오.

  2. ② 타이밍 벨트 풀리에 이물질이 부착되지 않도록 분위기 개선, 커버 설치 등을 해 주십시오.
질문으로 돌아가기
Q36 타이밍 벨트의 팽윤
A36
外観の特長

[외관의 특징]

  • 고무가 부풀어 오른다.

[추정 원인]

  • 타이밍 벨트에 부착된 유분·수분을 고무가 흡수했다.

[대책]

  • 타이밍 벨트에 유분·수분이 부착되지 않도록, 분위기의 개선, 커버의 설치 등을 해 주세요.
  • 「울트라 PX 벨트 내유 사양」에의 치환이 가능한 경우가 있기 때문에 검토를 부탁합니다.
질문으로 돌아가기
Q37 타이밍 벨트의 겉보기 성장
A37

[추정 원인]

축의 이동에 의한 축끼리의 접근.

[대책]

축을 단단히 고정하십시오.

질문으로 돌아가기
Q38 타이밍 벨트 후면의 고무 끈기 또는 연화
A38
外観の特長

[외관의 특징]

  • 타이밍 벨트의 뒷면에 연화된 고무가 부착되어 있다.
  • 타이밍 벨트의 고무에 점착성이 있거나 부드럽습니다.

[추정 원인]

  1. ① 타이밍 벨트에 유분이 묻어 고무가 흡수했다.
  2. ② 고온 분위기에서의 사용.
  3. ③외측 아이들러의 회전 불량

[대책]

  1. ① 타이밍 벨트에 유분이 부착되지 않도록 분위기 개선, 커버 설치 등을 해 주십시오.

    「울트라 PX 벨트 내유 사양」에의 치환이 가능한 경우가 있기 때문에 검토를 부탁합니다.

  2. ② 분위기 온도를 낮추고 80℃ 이하로 하십시오.
  3. ③ 아이들러가 회전하도록 조정하십시오. 예 : 아이들러의 관성을 줄이고 베어링의 크기를 늘립니다.
질문으로 돌아가기
Q39 타이밍 벨트 후면 고무 마모
A39

[외관의 특징]

  • 뒷면에 단면과 평행하게 함몰이 되어 있다.
  • 뒷면의 마크가 사라지거나 사라질 것입니다.

[추정 원인]

  1. ①외측 아이들러 축의 얼라인먼트 불량.
  2. ②외측 아이들러의 회전 불량.

[대책]

  1. ①축의 평행도가 미치기 때문에 올바른 위치로 조정해 주십시오.
  2. ② 아이들러가 회전하도록 조정하십시오. 예 : 아이들러의 관성을 줄이고 베어링의 크기를 늘립니다.
질문으로 돌아가기
Q40 타이밍 벨트 후면 고무 균열
A40
外観の特長

[외관의 특징]

  • 타이밍 벨트 뒷면에 치아와 평행하게 균열이 들어 있다.

[추정 원인]

  1. ①사용하고 있는 타이밍 풀리 또는 아이들러 지름이 너무 작다.
  2. ②사용분위온도가 고온 혹은 너무 따뜻하다.

[대책]

  1. ① 타이밍 풀리, 아이들러의 지름이 적절한지 확인하고, 너무 작으면 적정한 지름의 것으로 변경하십시오.

    (타이밍 풀리의 지름은 전동능력표, 아이들러의 지름은 아래 표에서 확인해 주십시오.)

    • 내부 아이들러...... 아래 표의 최소 풀리 잇수 이상의 타이밍 풀리로 합니다.
    • 외부 아이들러...... 아래 표의 풀리 피치 원 직경의 1.2배 이상으로 크라운이 없는 평 풀리로 합니다.

    ■ 아이들러 선정시 최소 풀리 잇수

    종류 회전 속도 r/min
    900 이하 900 이상
    1200 이하
    1200을 초과
    1800 이하
    1800을 초과
    3600 이하
    P2M 16 16 18 20
    P3M・UP3M 14 14 16 18
    P5M・UP5M 18 20 24 28
    P8M・UP8M 24 26 26 28
    P14M・UP14M 28 28 28 34

    주) 3600 r/min을 초과하는 경우는 기준 전동 용량표를 참조하십시오.

    내부 아이 아이들러

    내부 아이 아이들러

    외부 아이들러

    외부 아이들러

  2. ②분위기 온도를 타이밍 벨트가 사용 가능한 -15℃~80℃로 개선해 주십시오.
질문으로 돌아가기
Q41 타이밍 풀리 치아 마모
A41
外観の特長

[외관의 특징]

  • 타이밍 벨트 와의 맞물림 부분이 마모되어 있고, 맞물리지 않은 부분과 단차가 되어 있다.
  • 치면이 거칠다.

[추정 원인]

  1. ① 타이밍 풀리의 재질이 부적절하다.
  2. ②분진이 있는 분위기에서 사용하고 있고, 타이밍 벨트 ·풀리에 마모성이 있는 분진이 부착한 상태에서 운전하고 있었다.
  3. ③ 타이밍 벨트 의 설치장력 너무 높았다.

[대책]

  1. ①경도가 높은 재료로 변경하는 치면 경화 또는 표면 처리를 실시하여 내마모성을 향상시켜 주십시오.
  2. ②사용 분위기를 개선하거나 분진이 부착되지 않는 커버를 설치해 주십시오.
  3. ③ 적정한 설치장력으로 조정해 주십시오.
질문으로 돌아가기
Q42 측정 가능 범위는?
A42

타이밍 벨트의 진동수로 BDTM101은 30~600Hz, BDTM201은 10~5000Hz입니다.
측정 스팬이 너무 짧거나 너무 긴 레이아웃의 경우 진동 주파수가 측정 가능 범위를 벗어나 측정하지 못할 수 있습니다.

질문으로 돌아가기
Q43 구입하기 전에 사용하고 싶지만, 대출은 하고 있습니까?
A43

데모기의 대출을 실시하고 있습니다. 자세한 내용은 당사 문의 창구에 문의하십시오.

질문으로 돌아가기
Q44 교정은 받을 수 있을까?
A44

유상으로 받고 있습니다. 당사 상품 취급 판매점에 문의해 주십시오.

질문으로 돌아가기
Q45 교정 적정 기간은?
A45

교정 주기는 고객의 기준이나 판단으로 설정을 부탁드립니다.

질문으로 돌아가기
Q46 재질은?
A46

고강도 알루미늄에 흰색 알루마이트 처리 를하고 있습니다.

질문으로 돌아가기
Q47 카탈로그 기재품 이외의 특주품은 제작 가능합니까?
A47

제작 가능한지 검토하므로, 당사 상품 취급 판매점에 도면을 더해 문의해 주세요.

질문으로 돌아가기